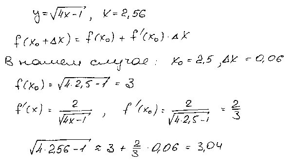
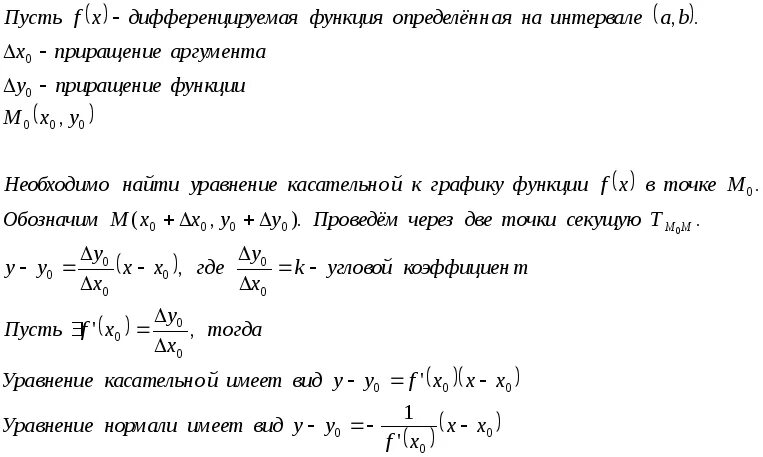
Найти приближенно с помощью дифференциала функции