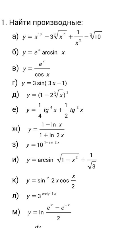
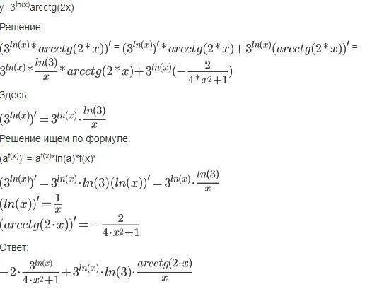
Найти производную функции cos 2x