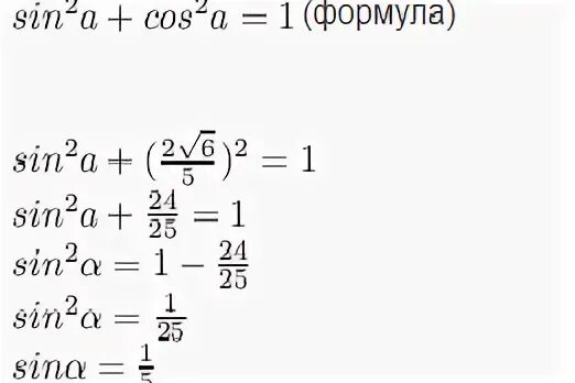
Найти синус альфа если косинус 2 3