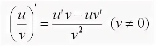
Найти u v