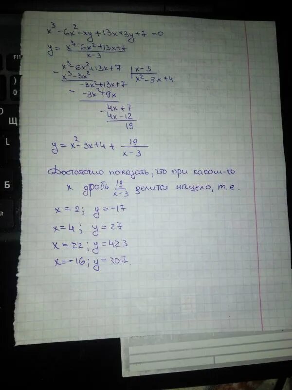
Найти все пары целых чисел