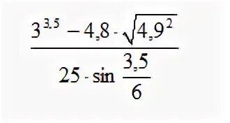
Найти значение выражения 49 36 9