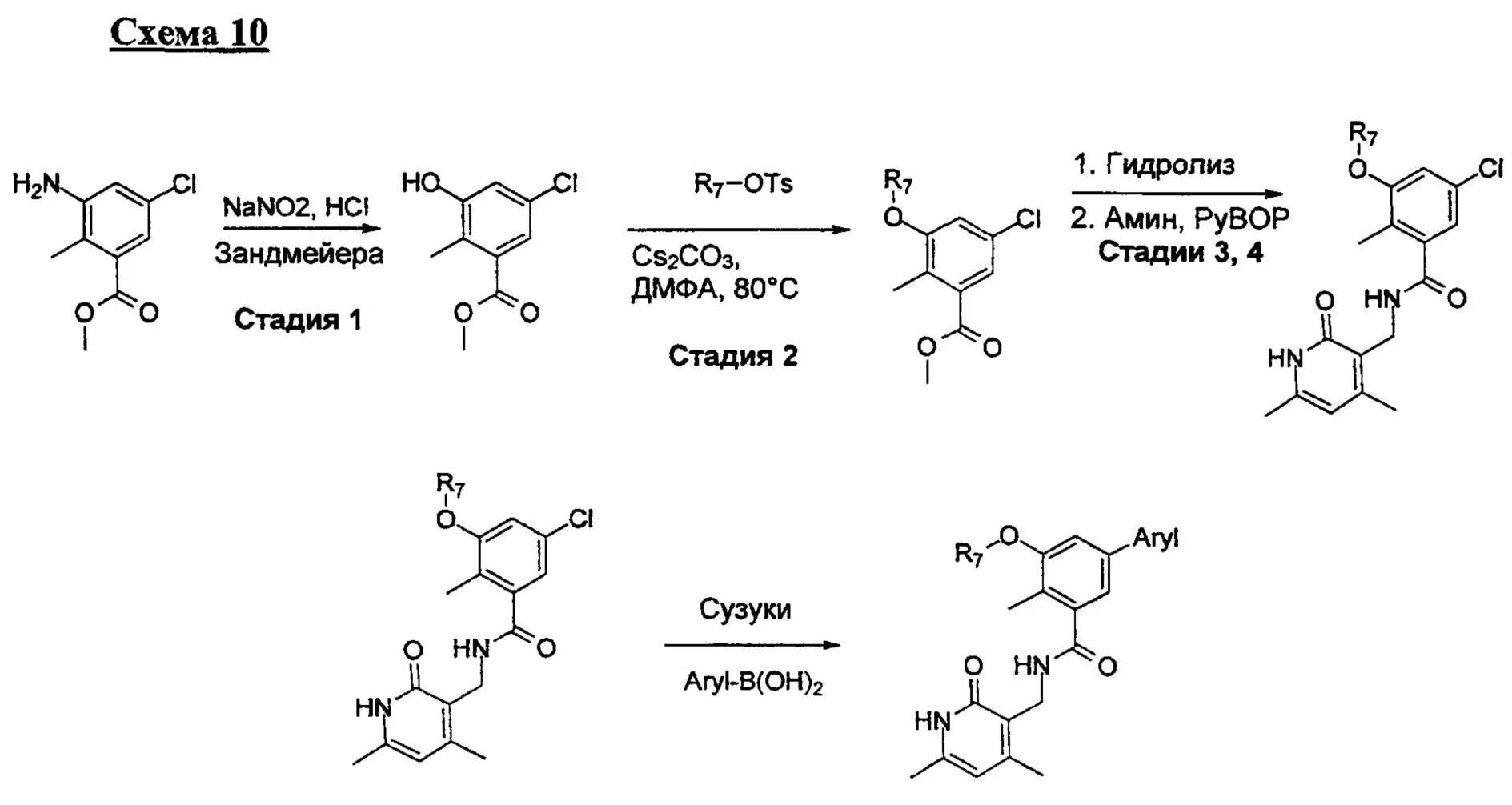
Название формулы nano2