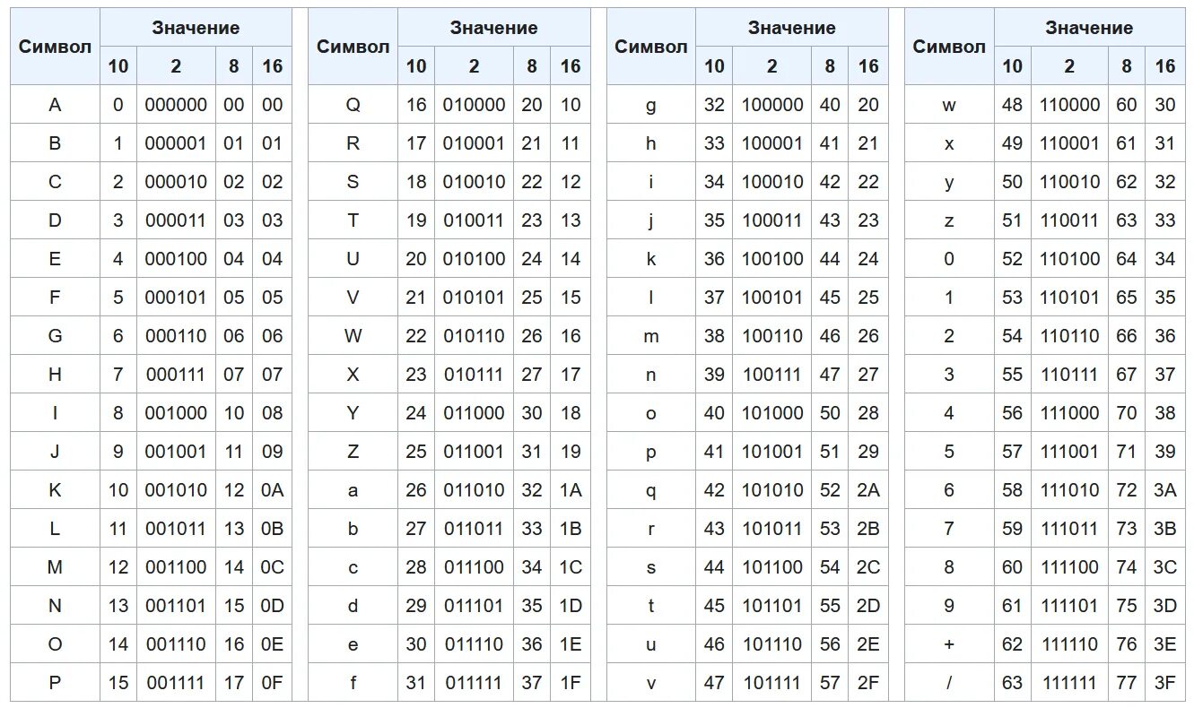
Недопустимые строки base64