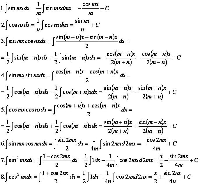
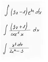
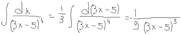
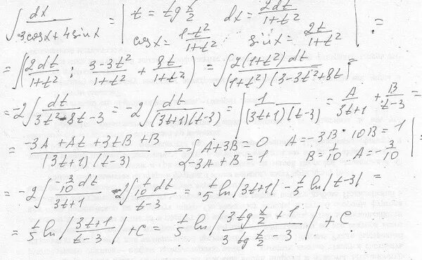
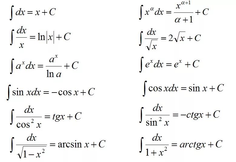
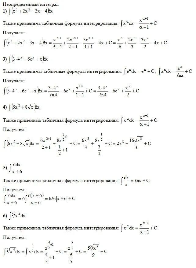
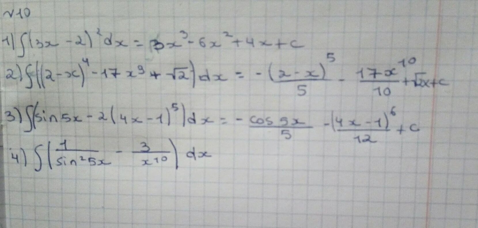
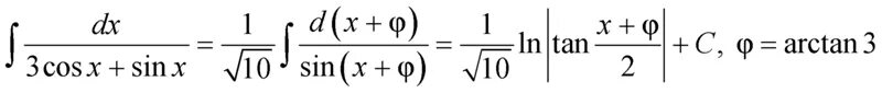
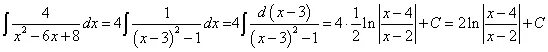
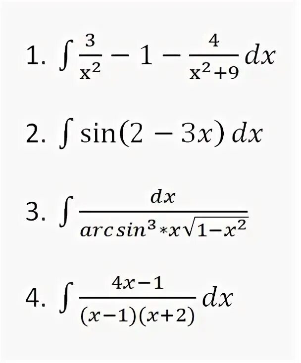
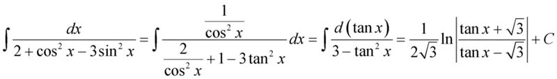
Неопределенный интеграл dx 4