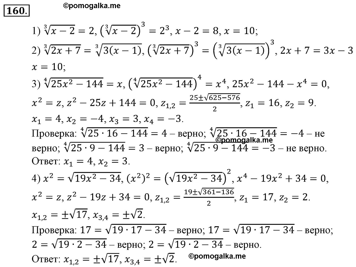
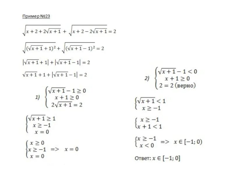
Неравенства 10 класс алимов