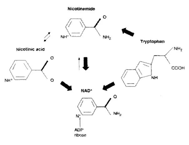
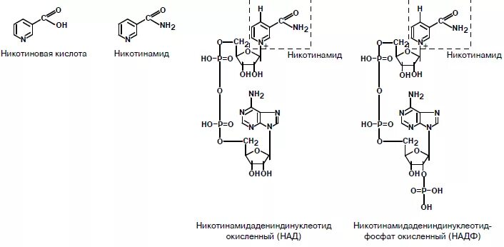
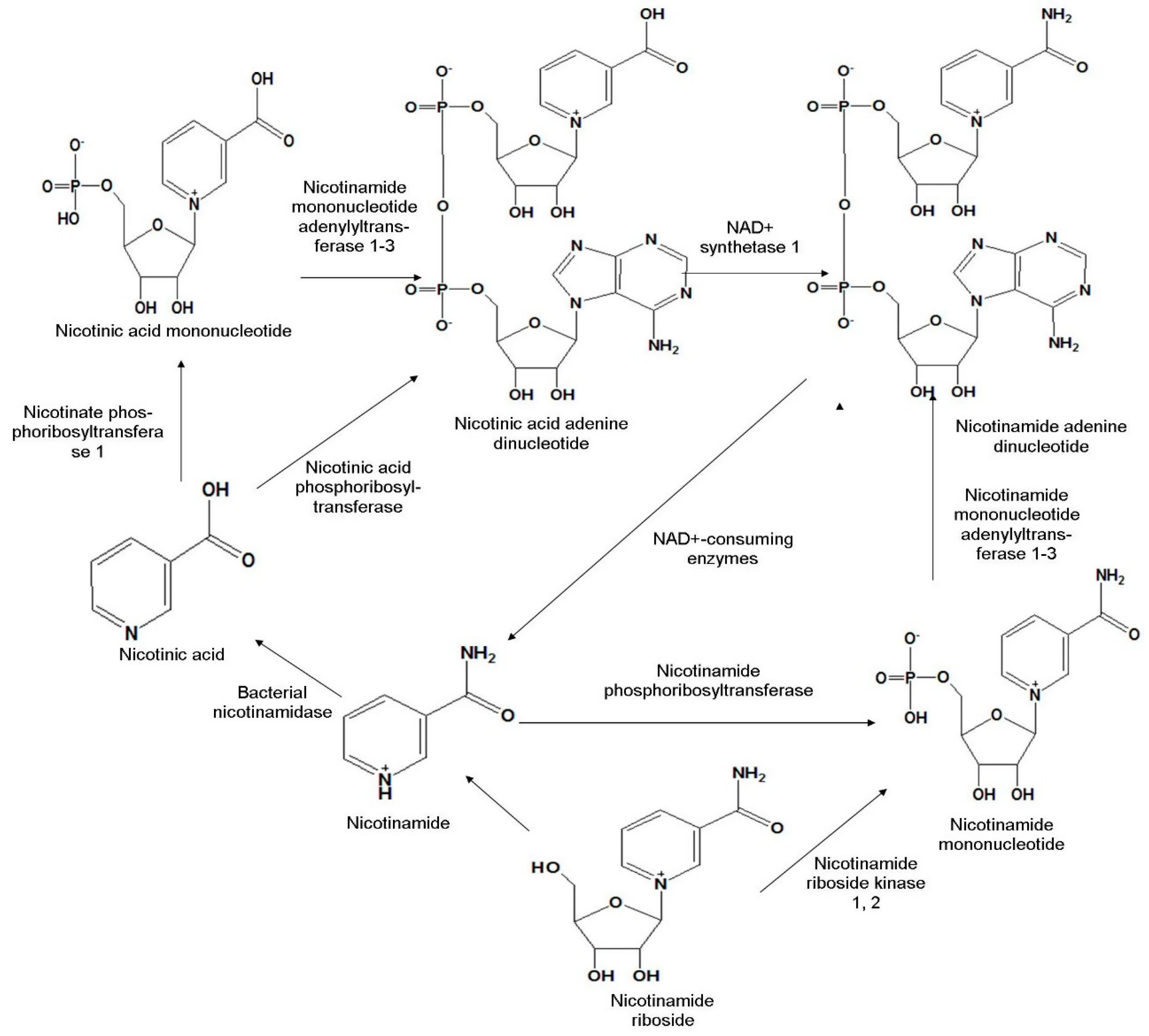
Никотинамид для чего