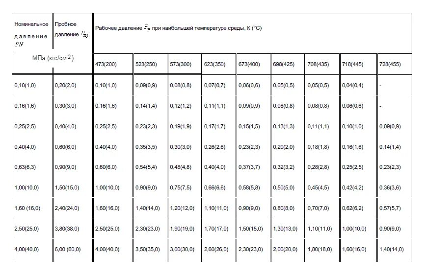
Номинальное давление это