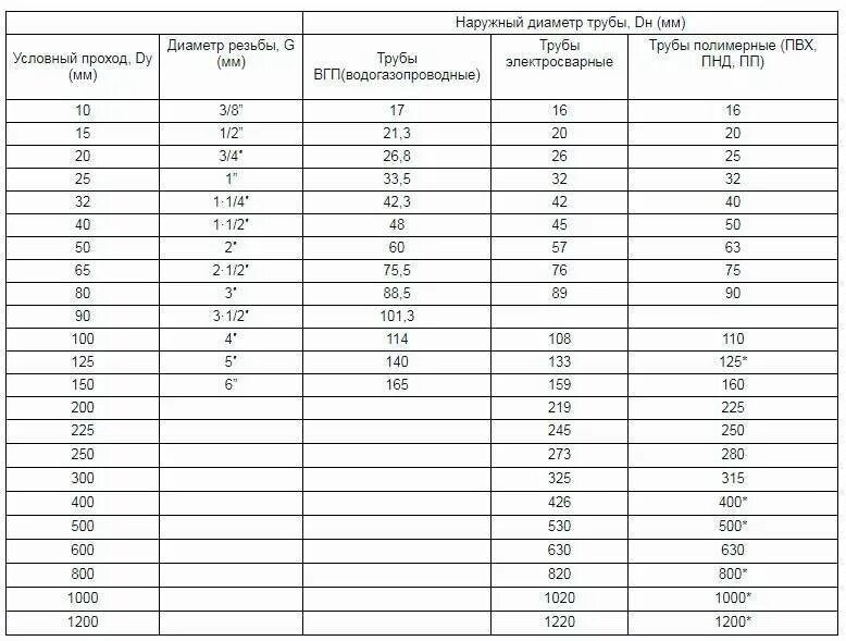
Номинальный размер трубы