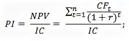
Npv pp pi