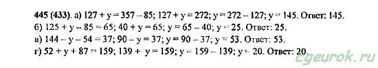
Объем 5 класс математика виленкин