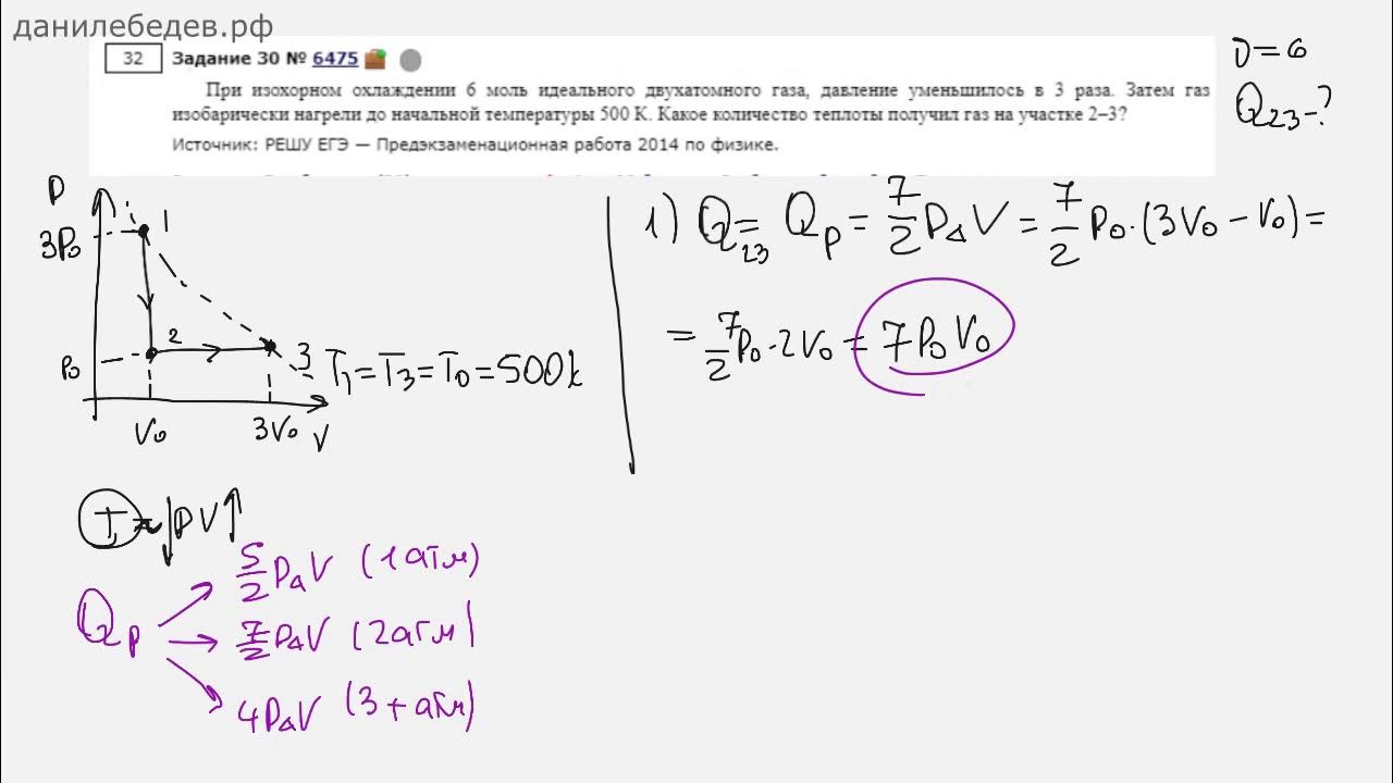
Обоснование 26 задача физика