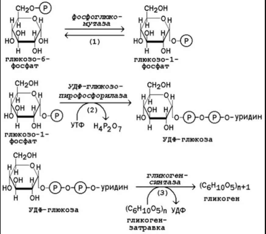
Образование гликогена