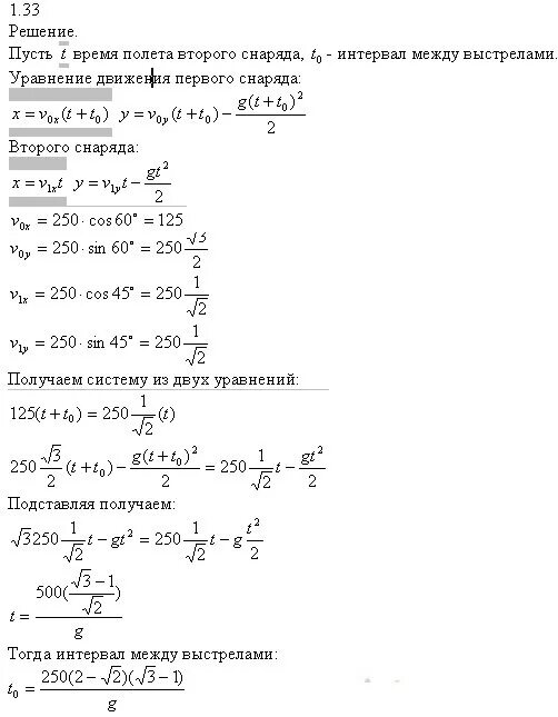
Общая физика иродов решебник