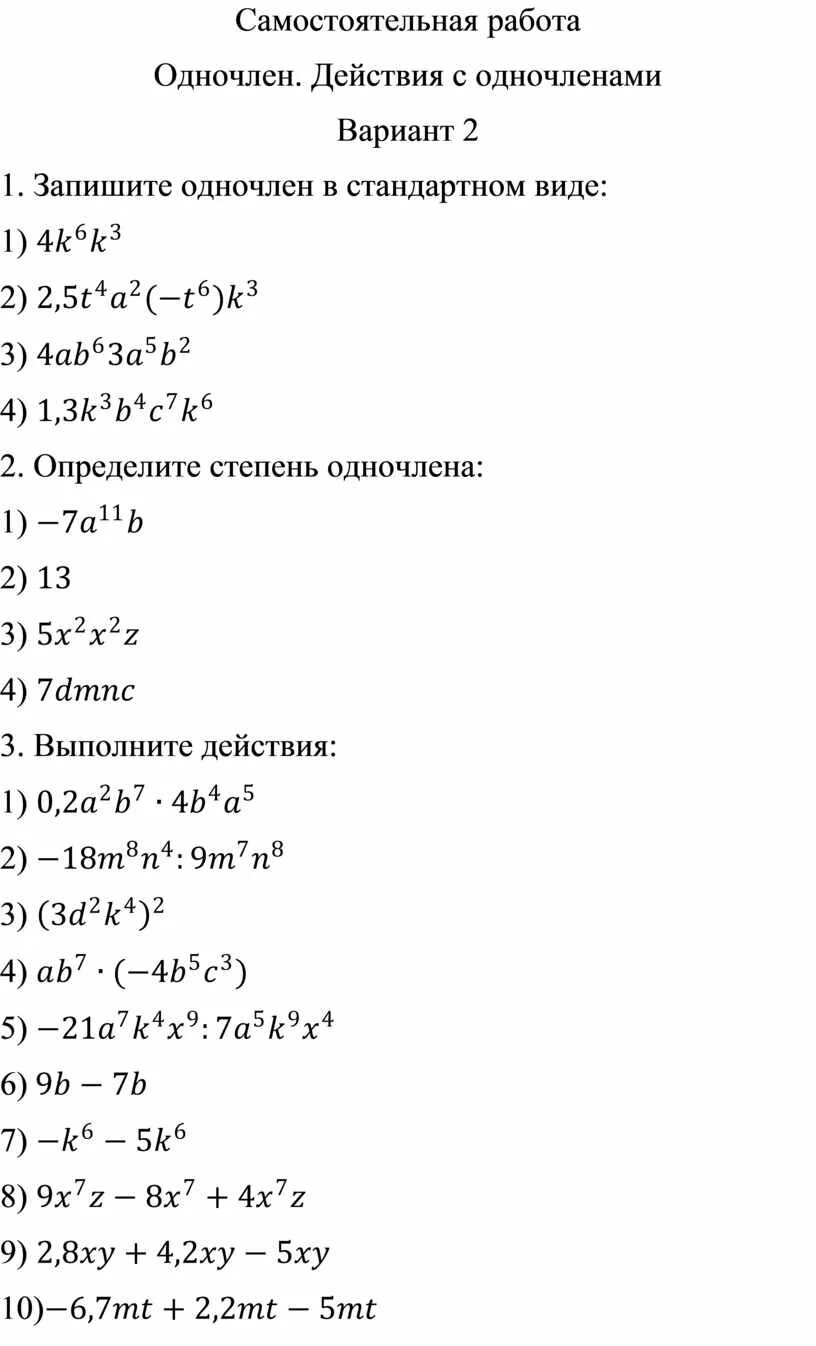
Одночлены вариант 1