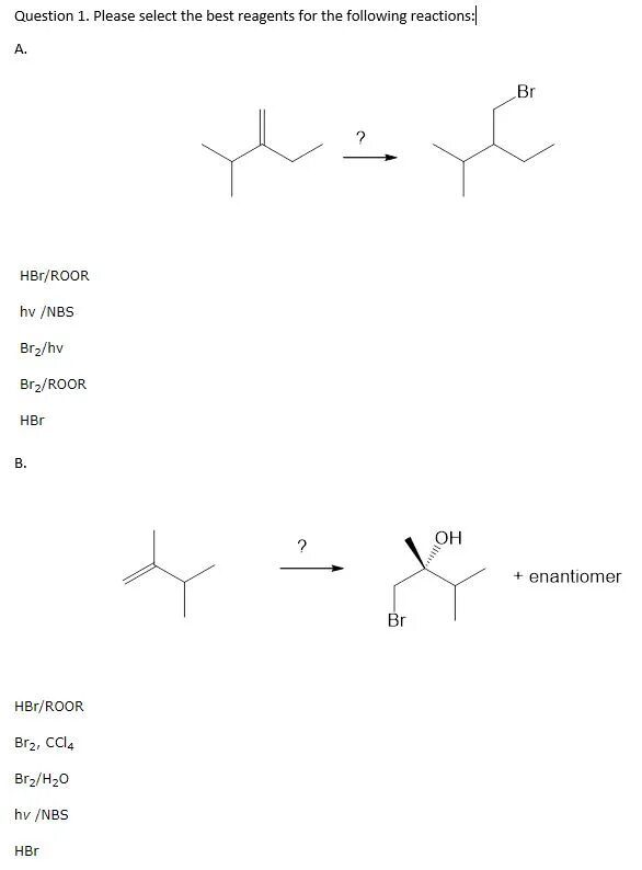
Окисления ccl4