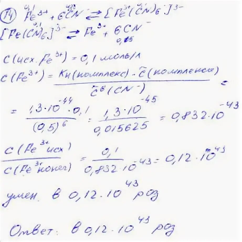
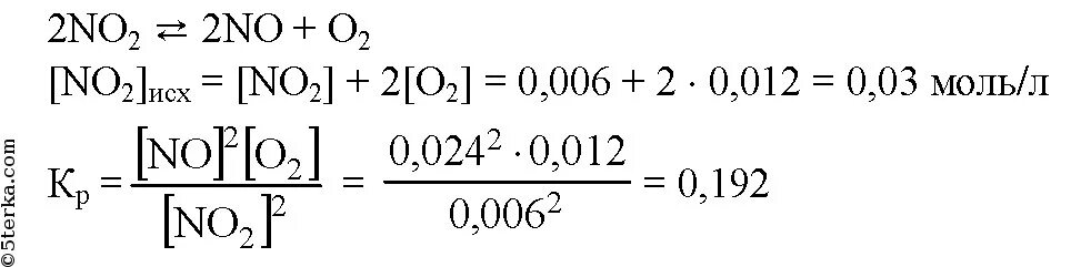
Определить исходную концентрацию o2