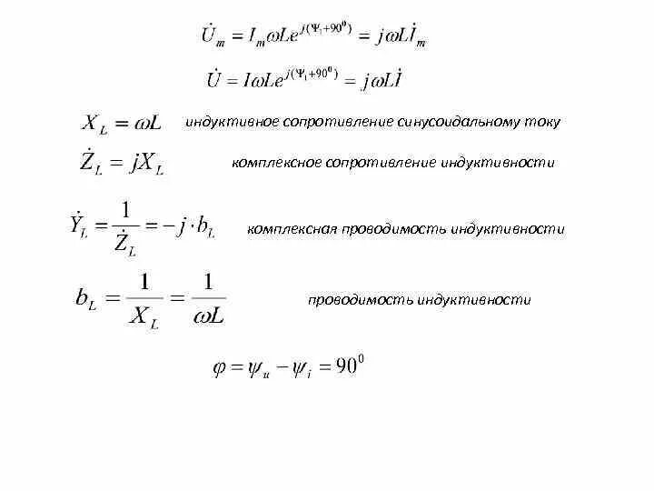
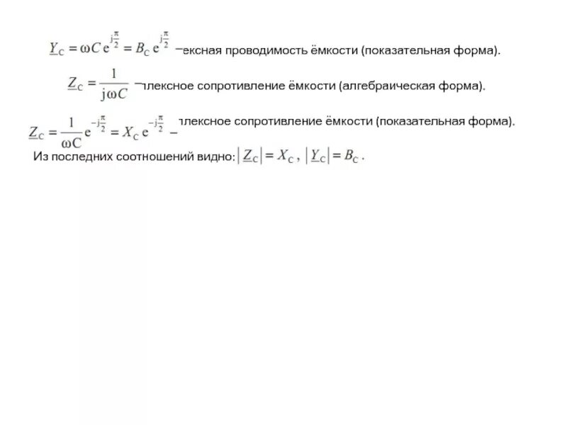
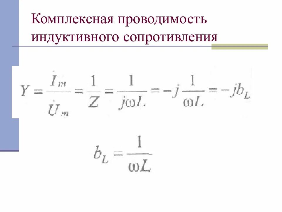
Определить комплексное сопротивление и комплексную проводимость