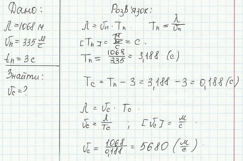
Определить на каком расстоянии от наблюдателя