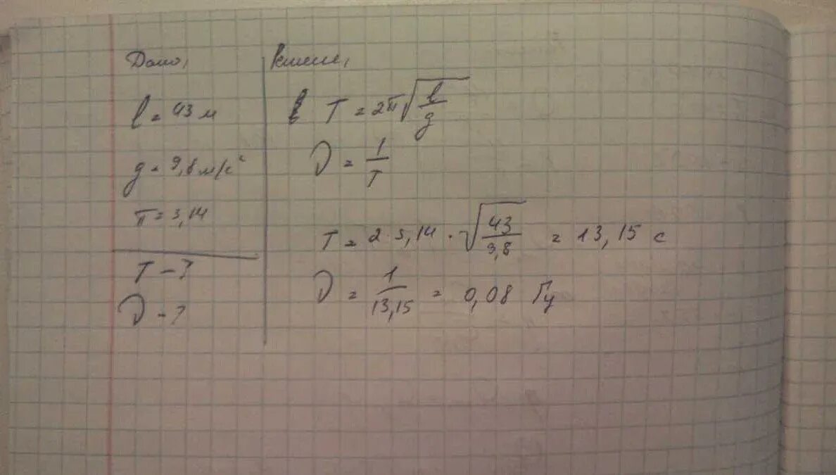
Определите длину математического