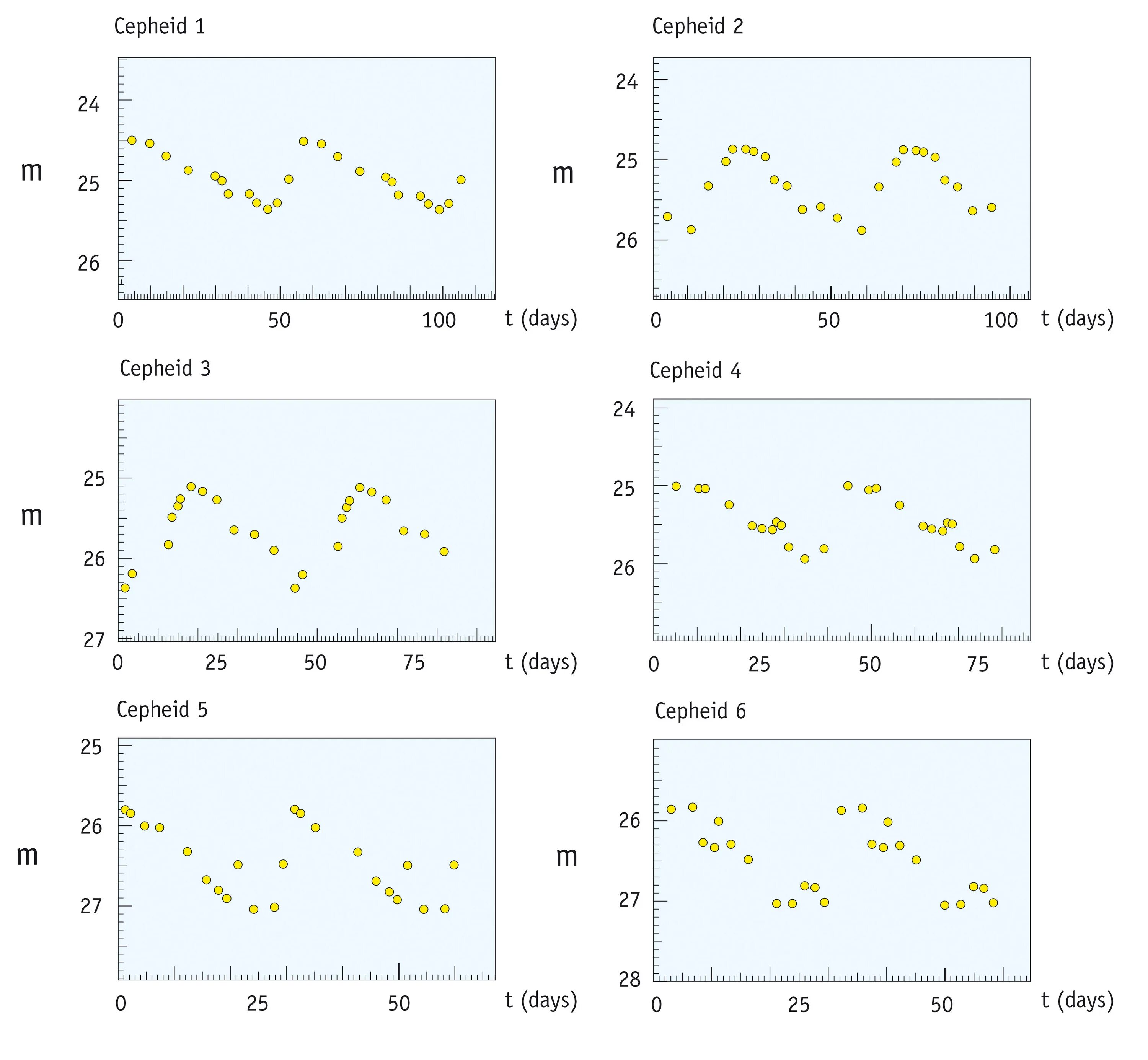
Определите изменение блеска цефеиды