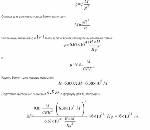
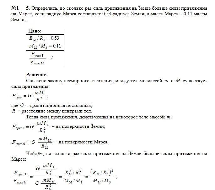
Определите массу планеты марс