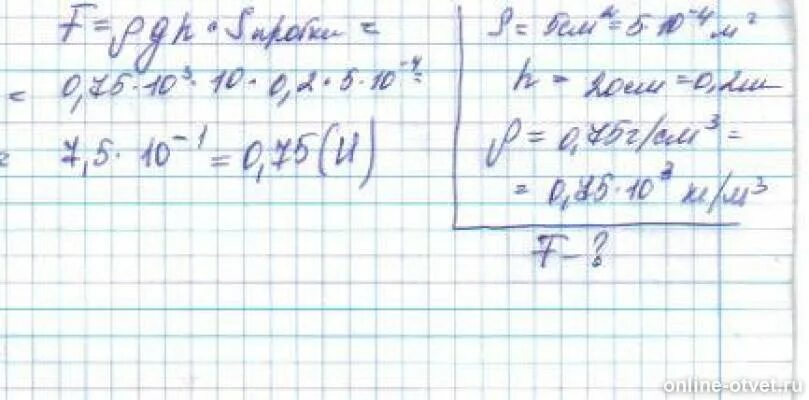
Определите силу давления нефти на пробку площадью