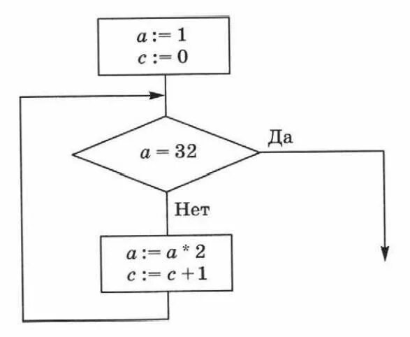
Определите значение переменной c a 5