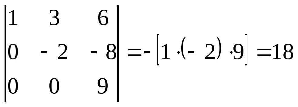
Определитель матрицы гаусс