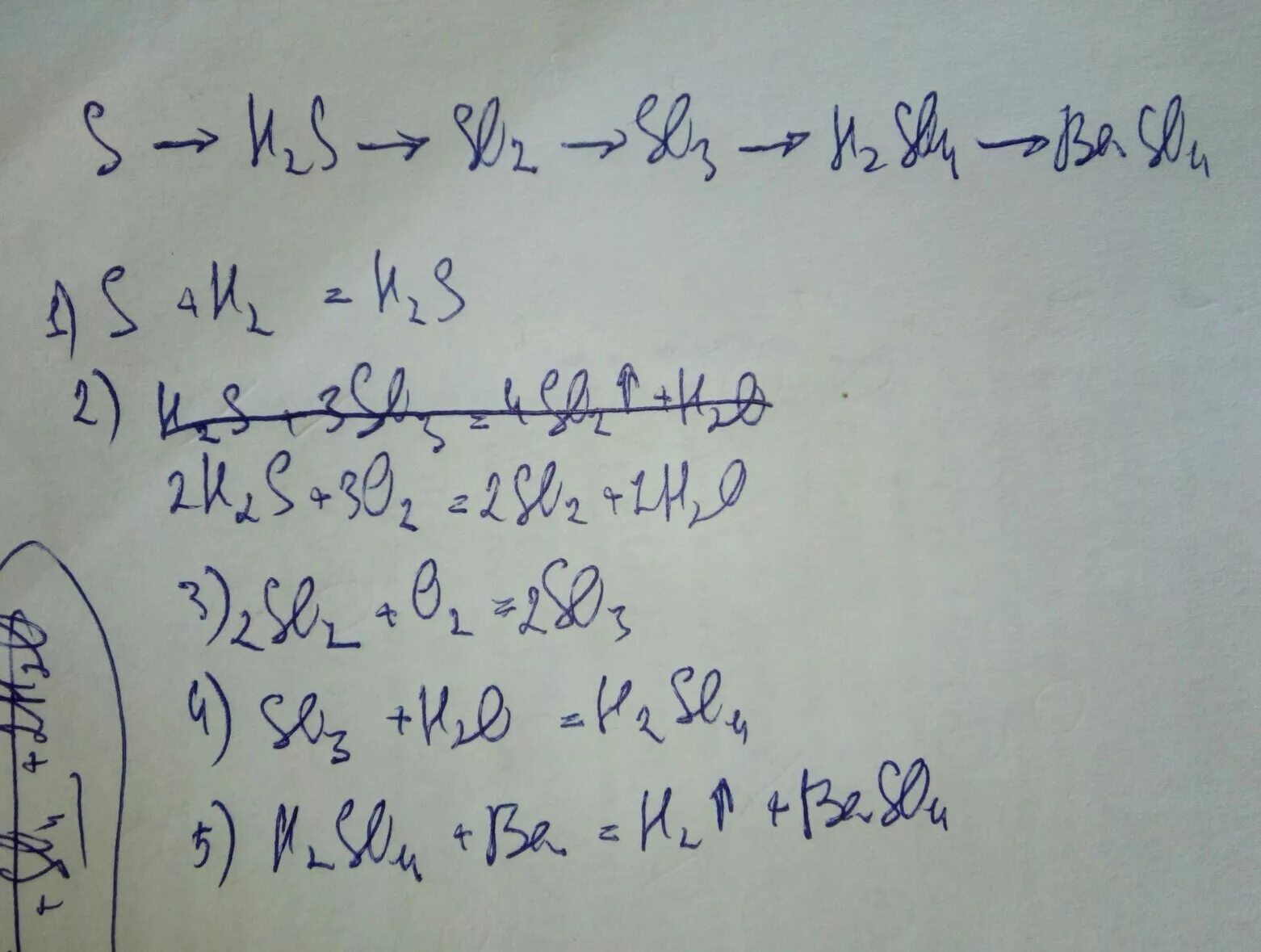
Осуществите превращения h2s so2 so3