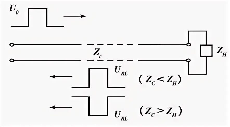
Отражение импульса