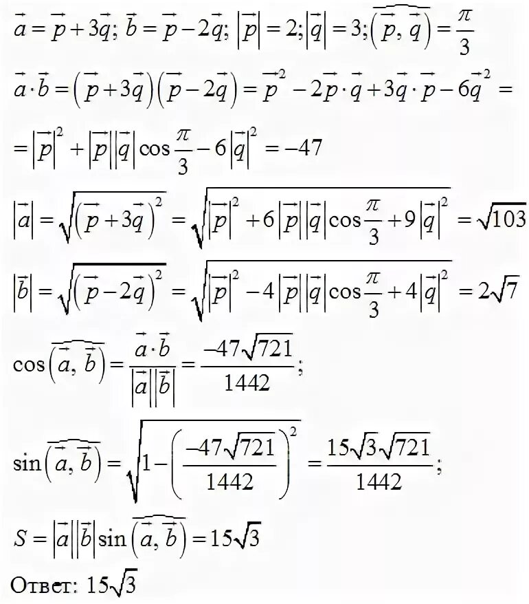
P 6 8 q 0 2