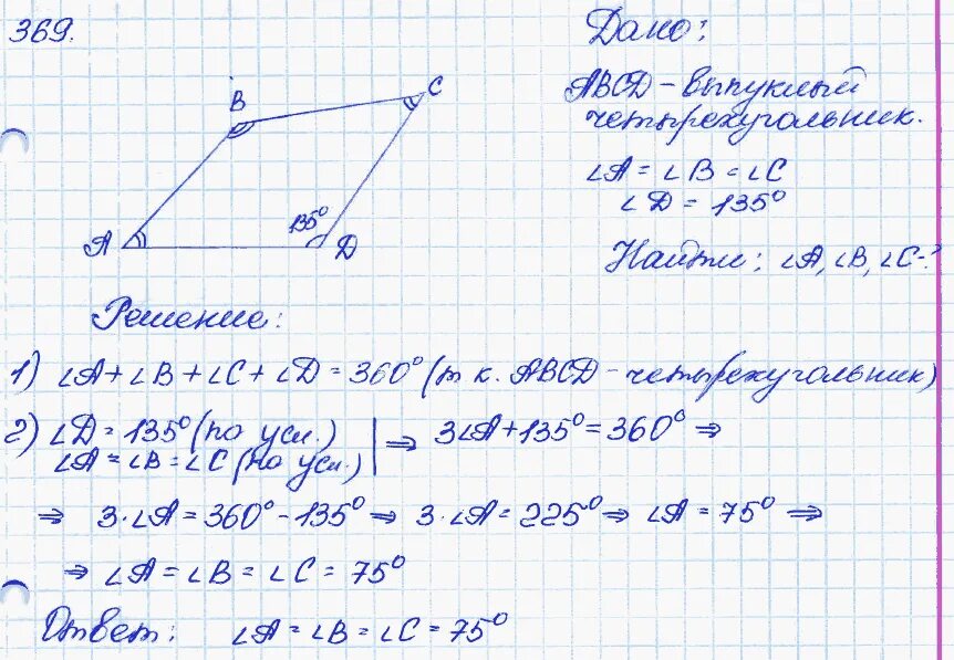
П а по геометрии 8 класс