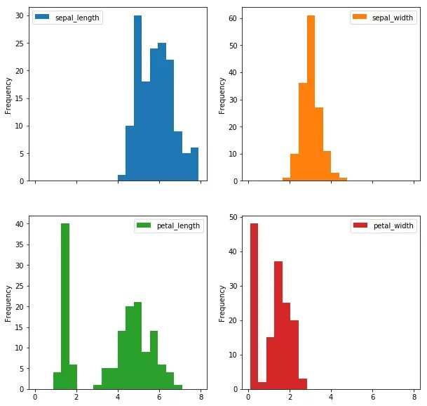
Pandas hist