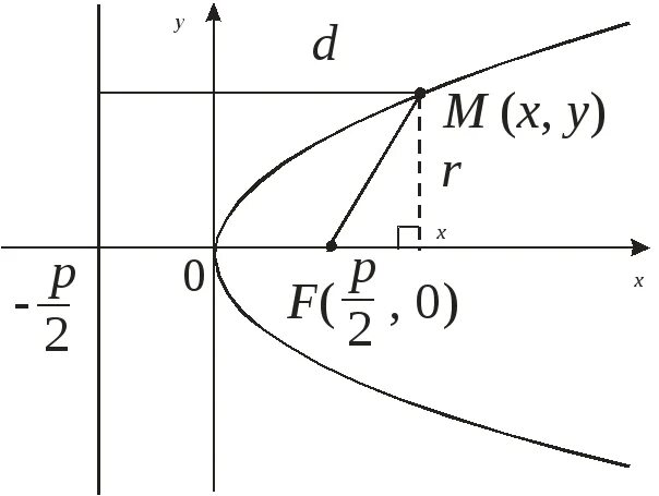
Парабола по 2 точкам