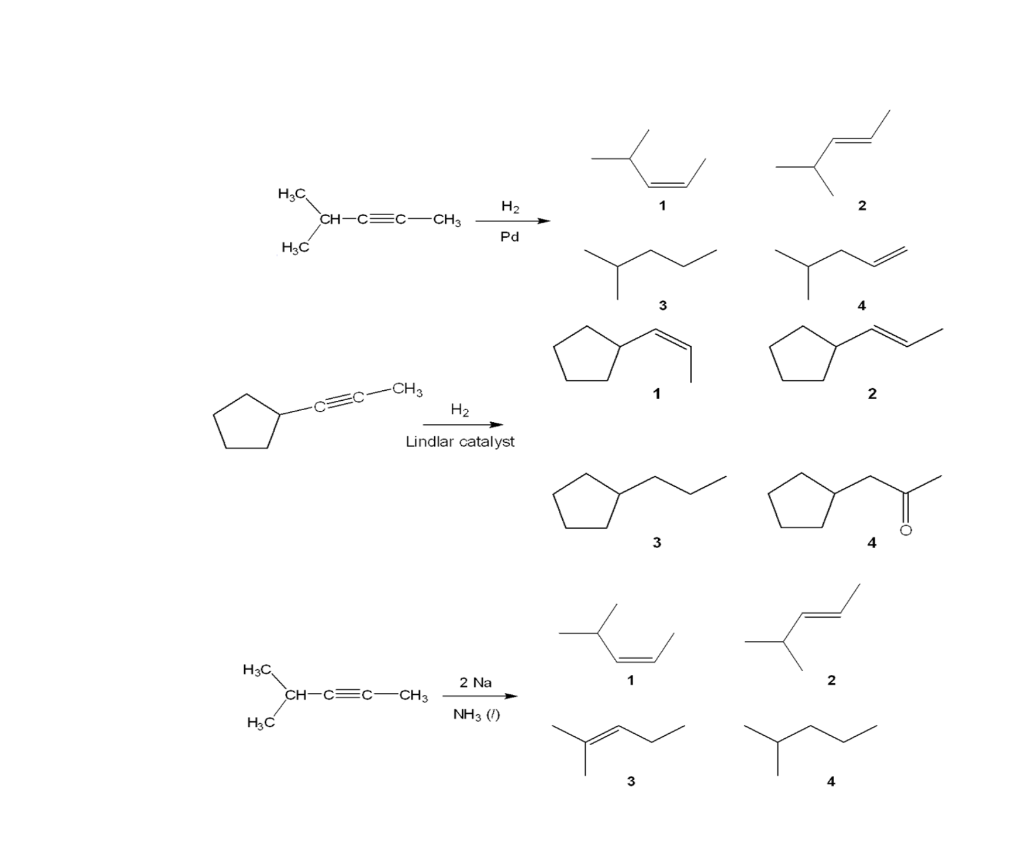
Pd h2