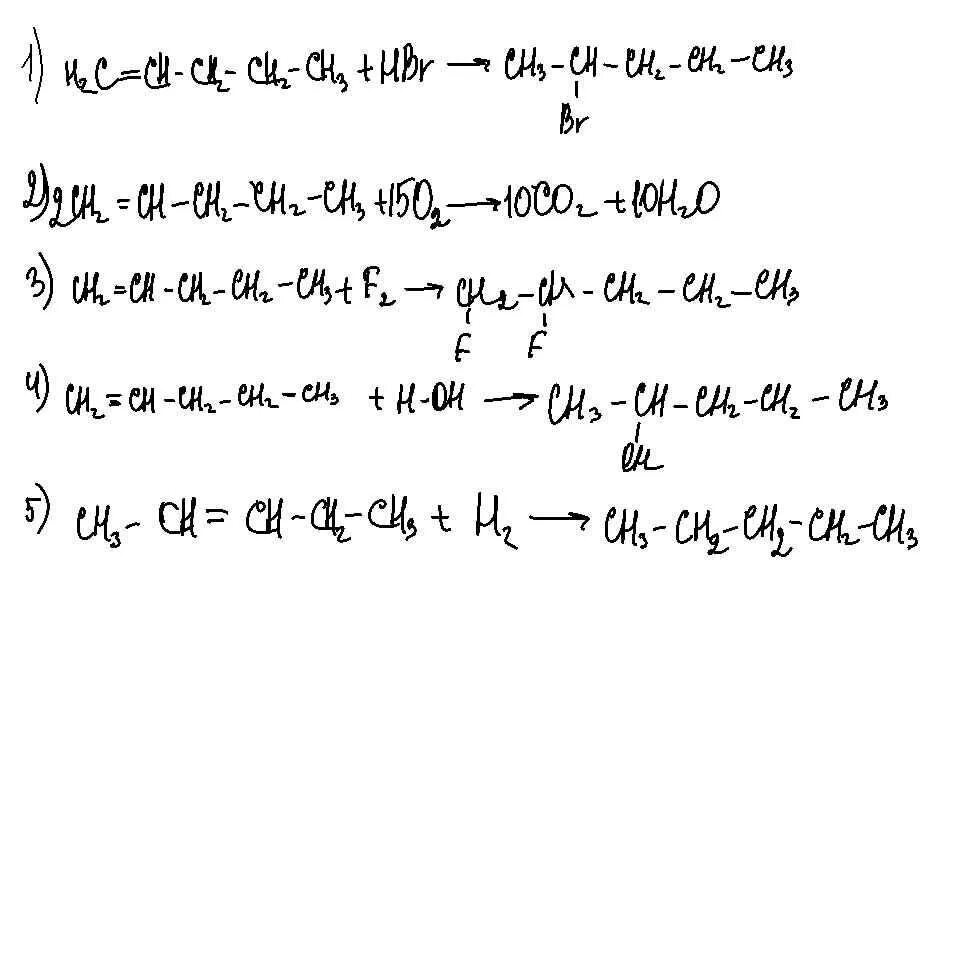
Пентин уравнение реакции