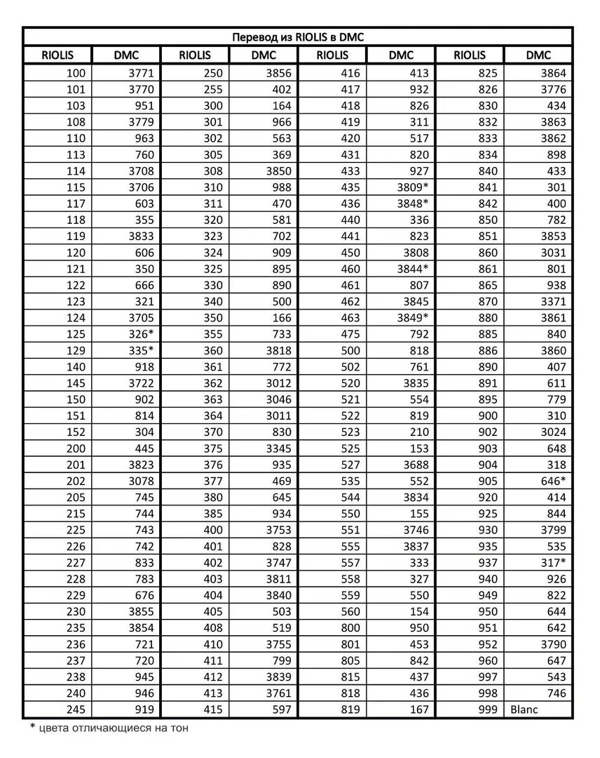
Перевести нитки