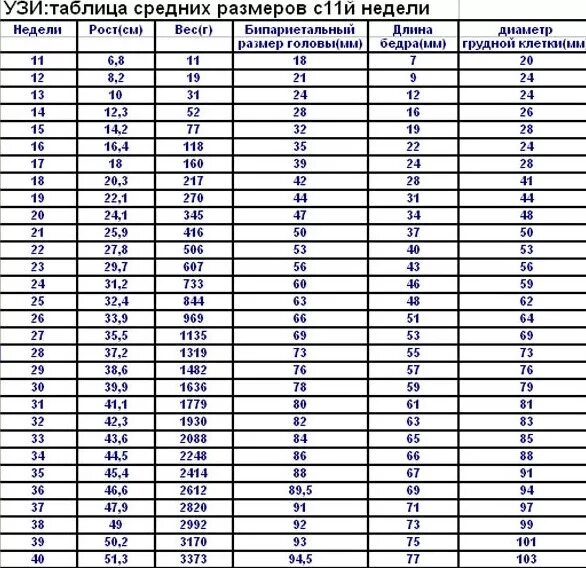
Плод меньше на неделю