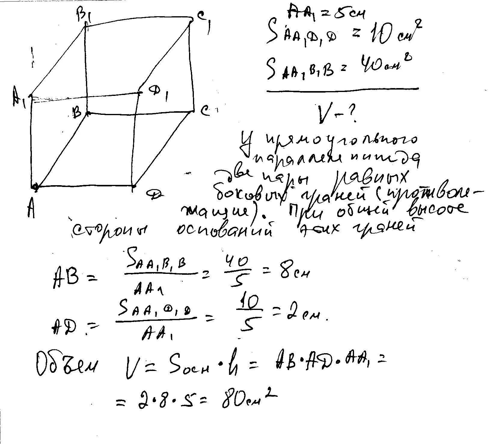
Площадь параллелепипеда равна 20