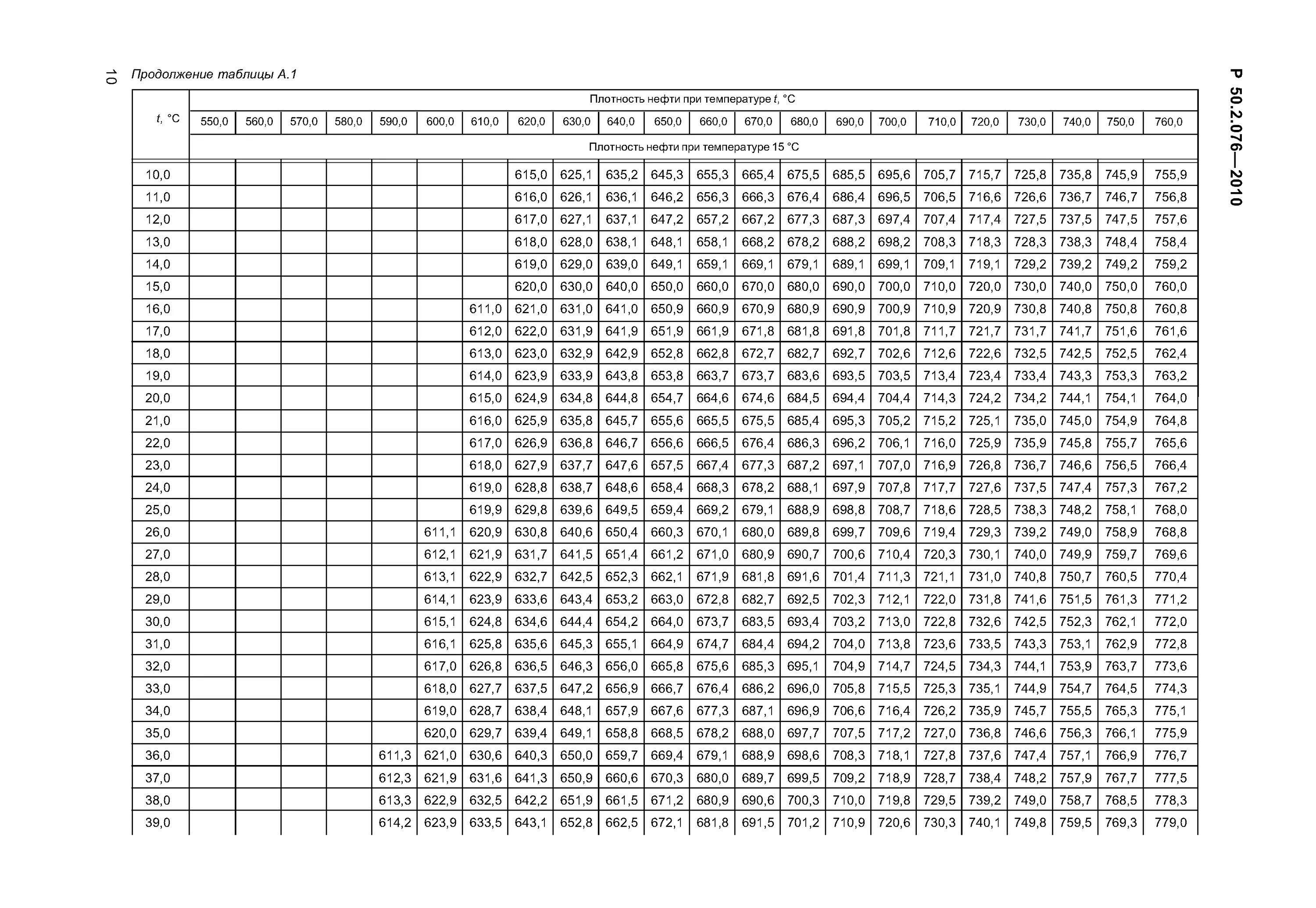
Плотность 92