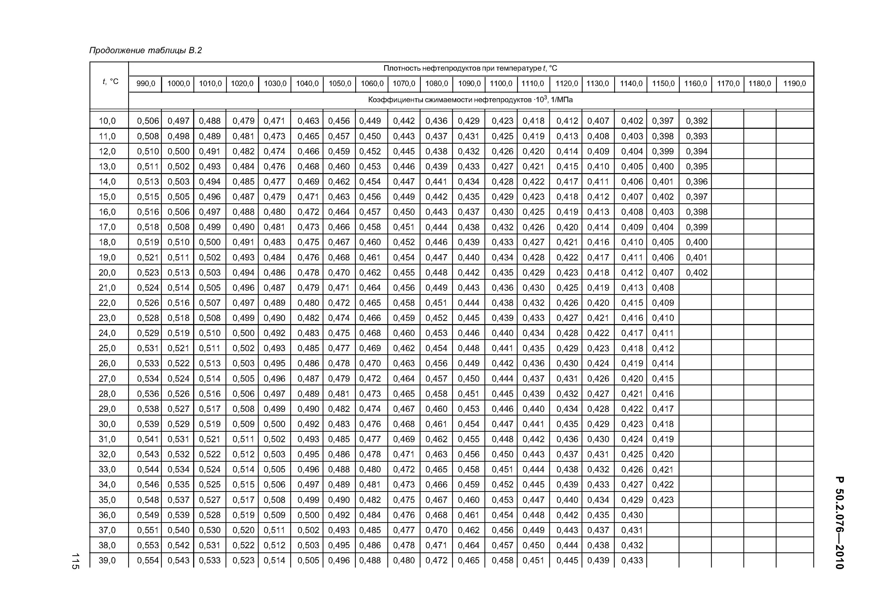
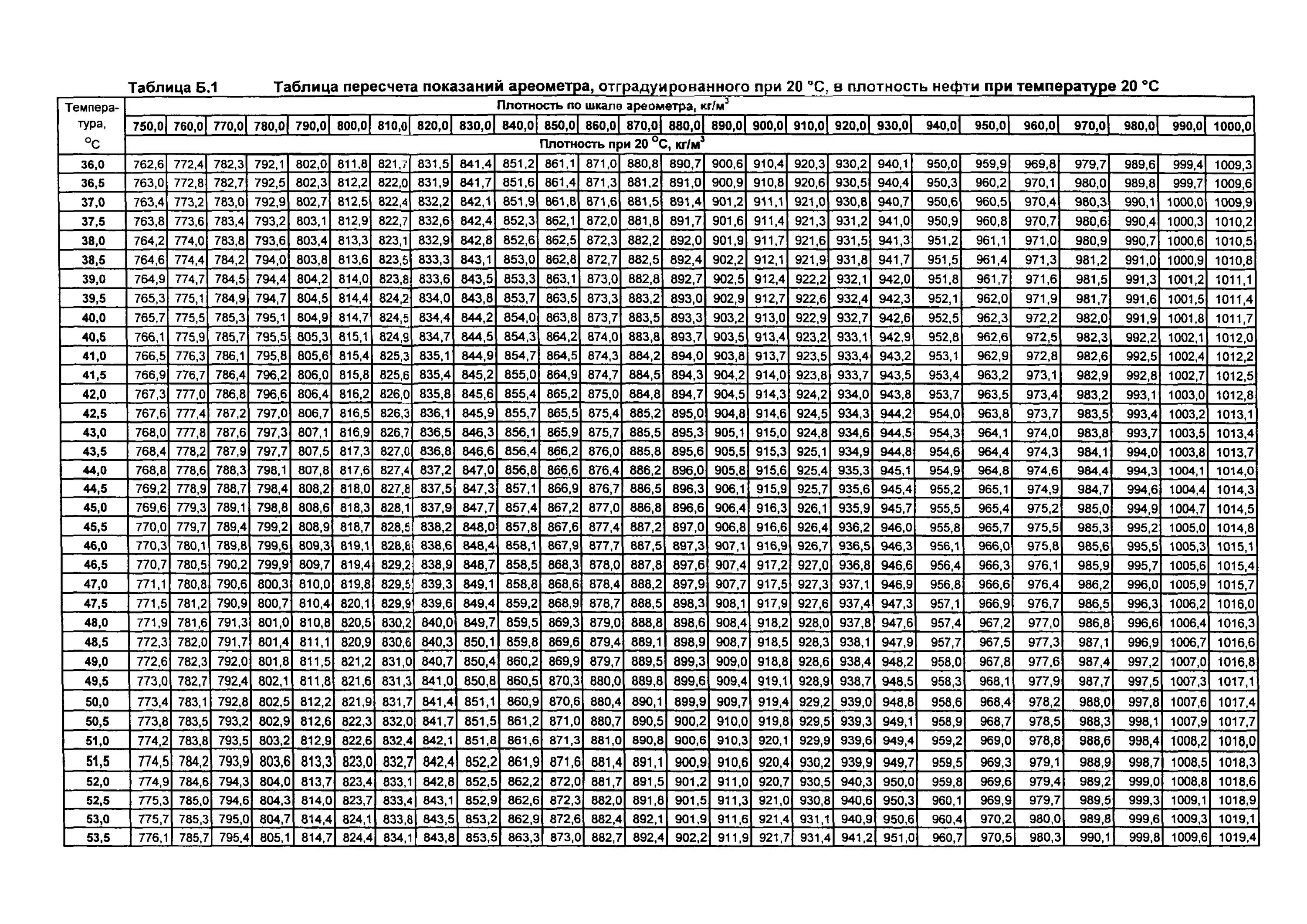
Плотность нефти таблица