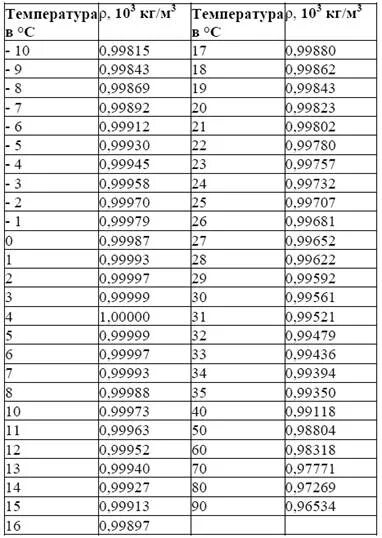
Плотность при температуре 15