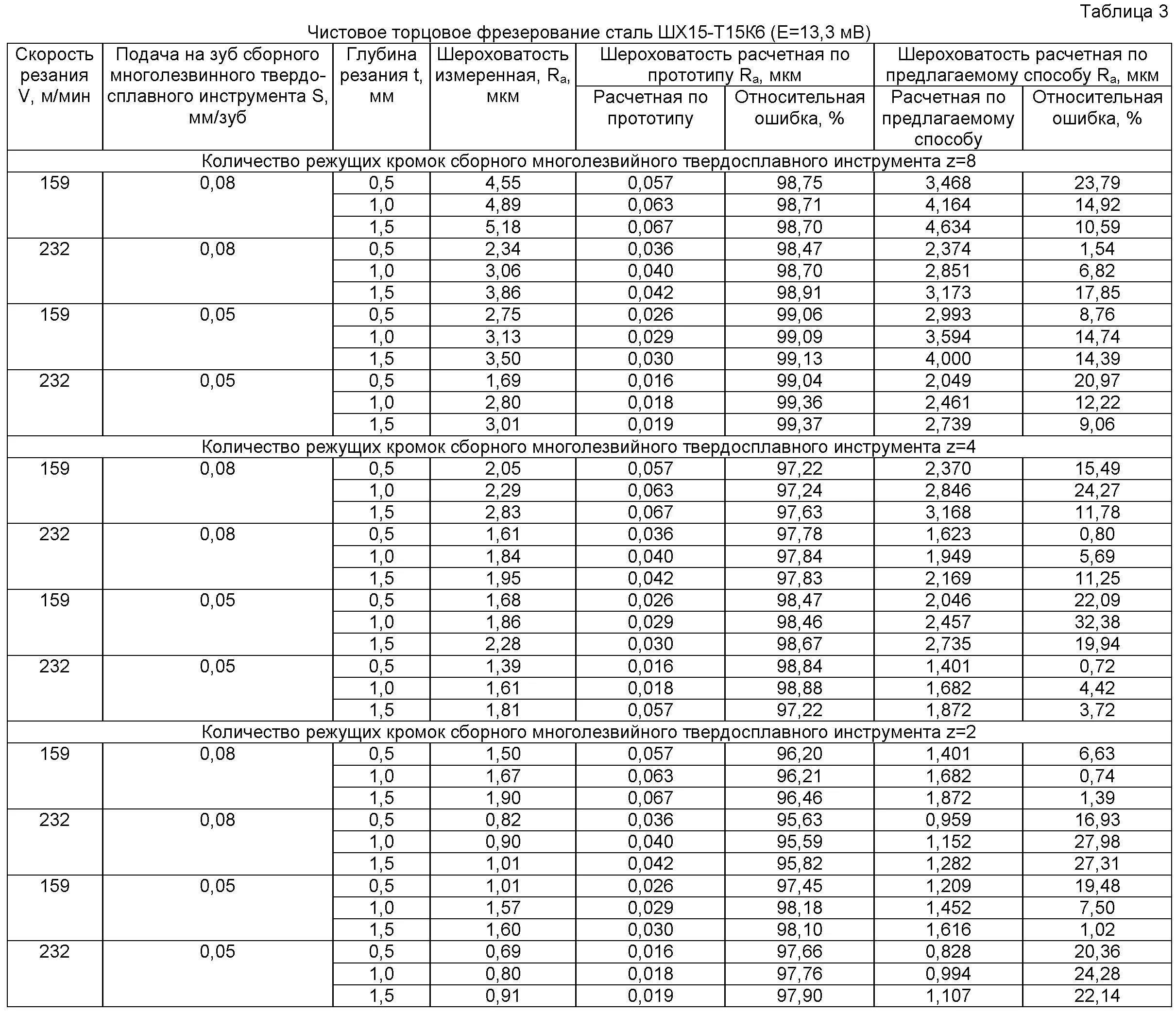
Подача при фрезеровании