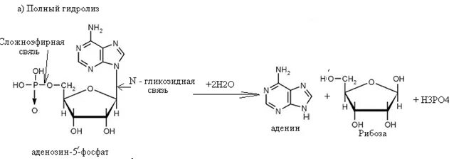
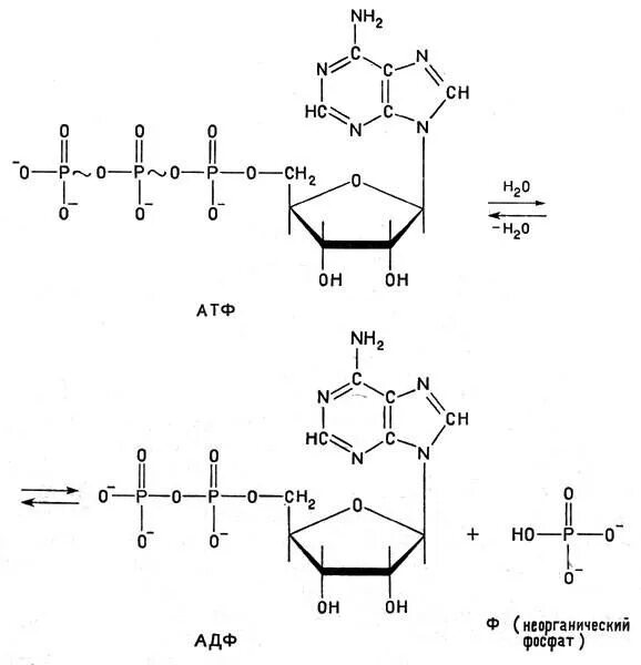
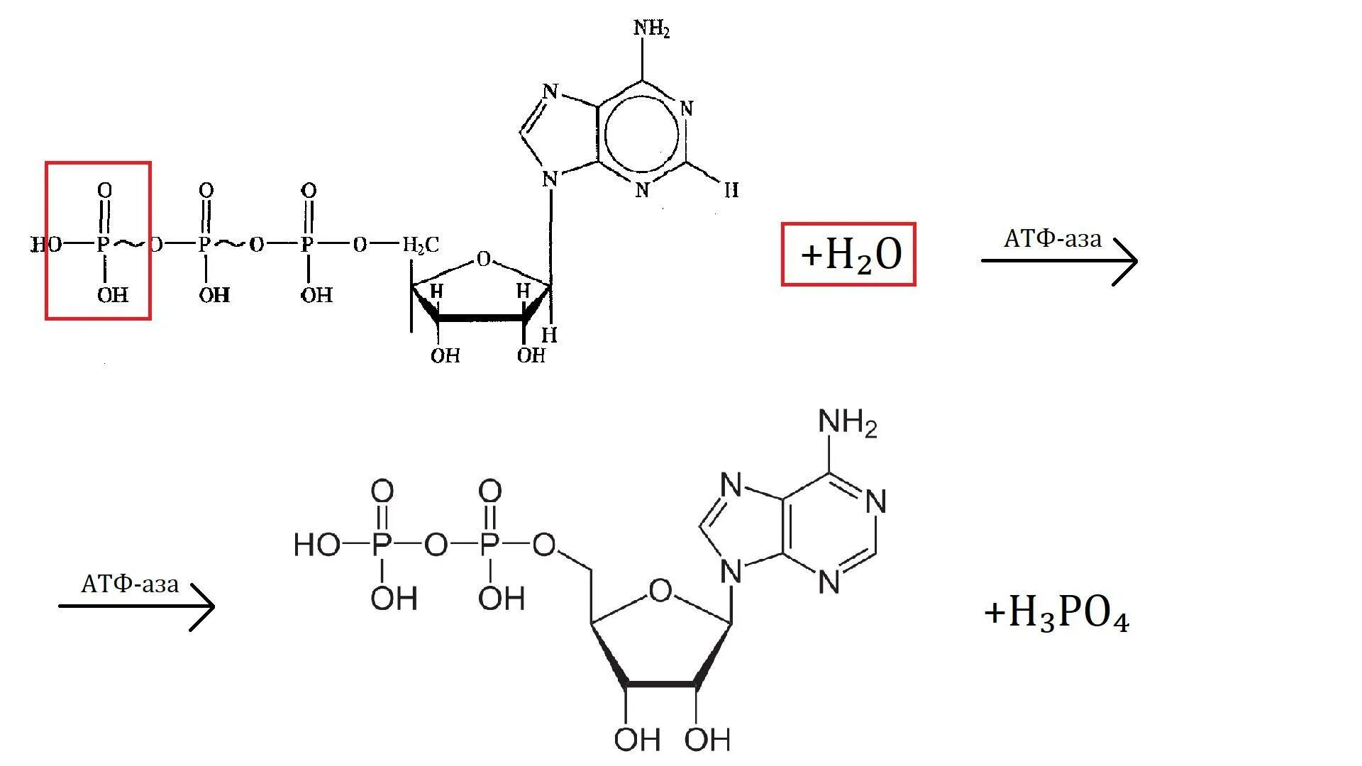
Полный гидролиз атф