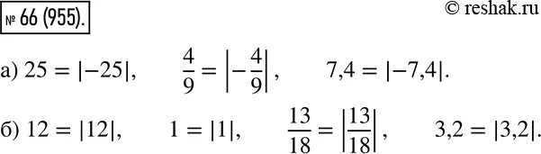
Положительное число модуль которого равен 39