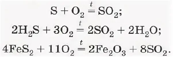
Получение so4