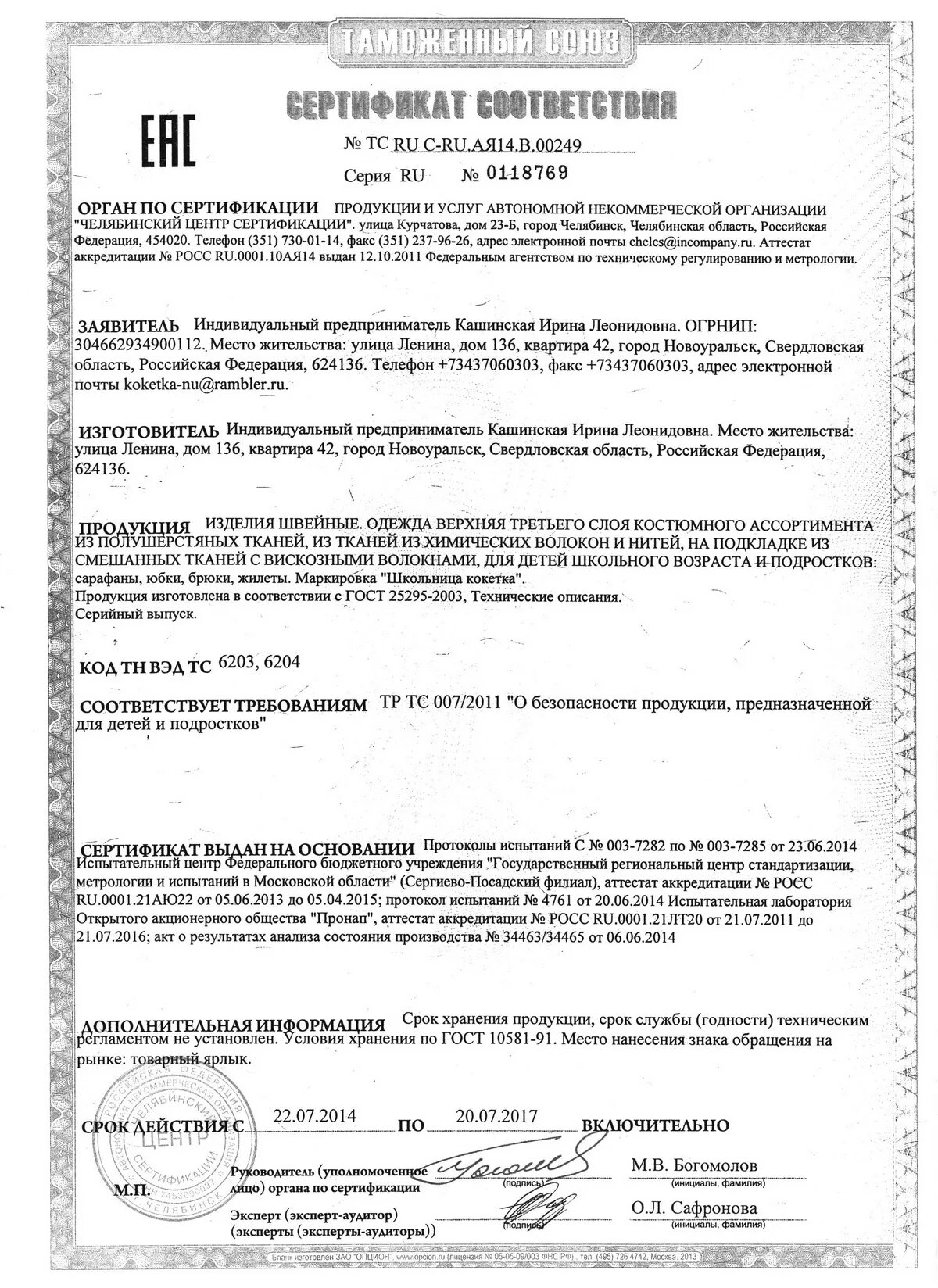
Получить сертификат соответствия на одежду