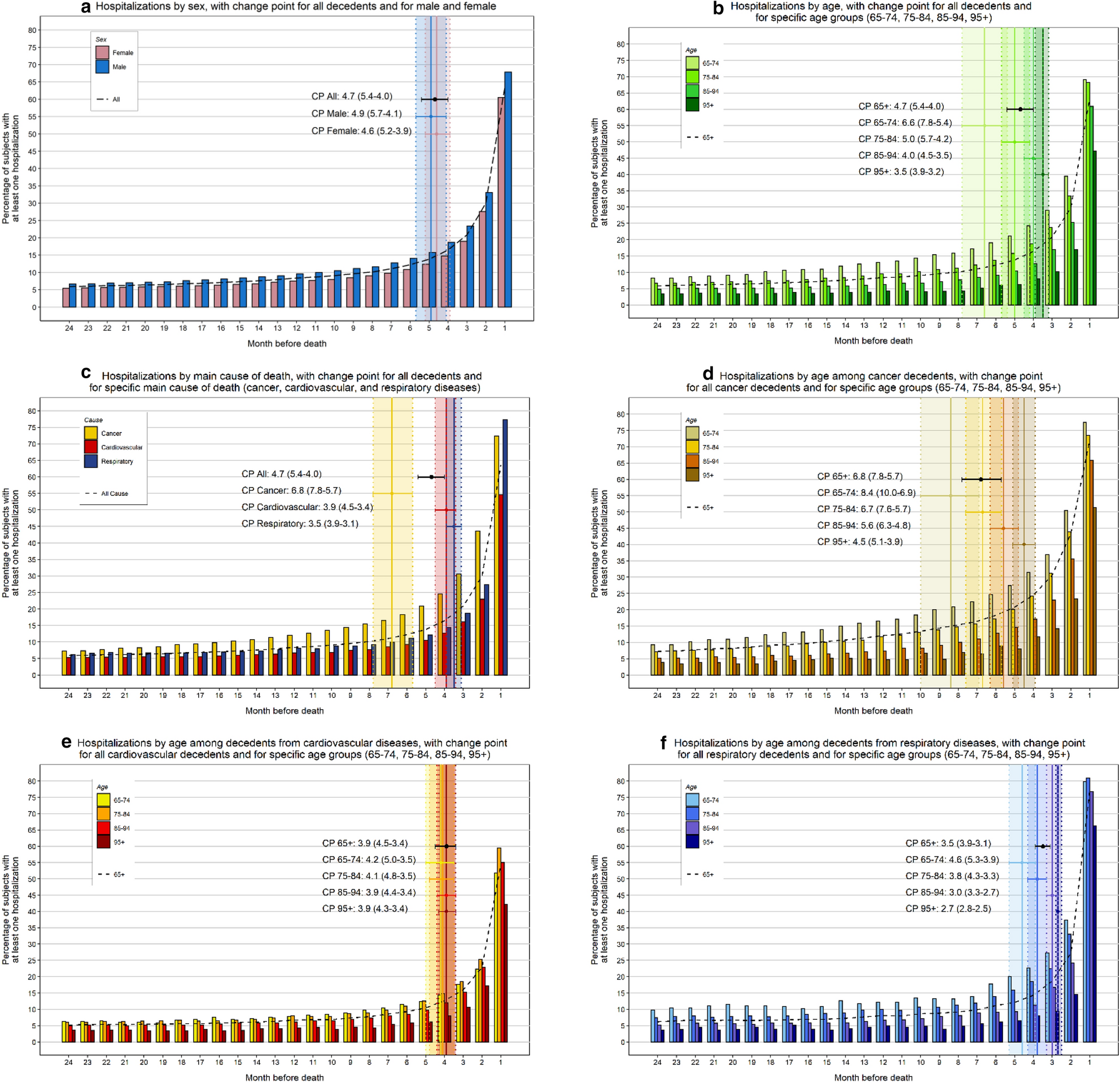
Population based study