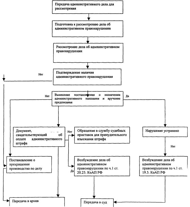
Порядок выполнения административной процедуры